Упр.33.17 ГДЗ Мордкович 8 класс (Алгебра)
Решение #1
Решение #2

Рассмотрим вариант решения задания из учебника Мордкович 8 класс, Мнемозина:
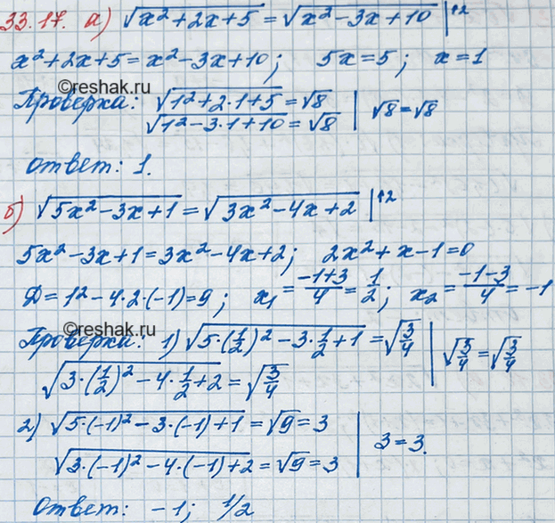
30.17. а) корень (x2 + 2х + 5) = корень (x2 - 3х + 10);
б) корень (5х2 - 3х + 1) = корень (3х2 - 4х + 2);
в) корень (3x2 + 5х - 1) = корень (2х2 + 2х - 3);
г) корень (6x2 + х - 15) = корень (x2 - х + 1).
Похожие решебники
Популярные решебники 8 класс Все решебники
*размещая тексты в комментариях ниже, вы автоматически соглашаетесь с пользовательским соглашением