Упр.32.55 ГДЗ Мордкович 8 класс (Алгебра)
Решение #1
Решение #2
Решение #3

Рассмотрим вариант решения задания из учебника Мордкович 8 класс, Мнемозина:
Новый учебник:
Найдите значение выражения при х = 2015
а) (3/(x-3) + 4/(x^2-5x+6) + 2x/(x-2)) : (2x+1)/3 - (x-12)/(9-3x);
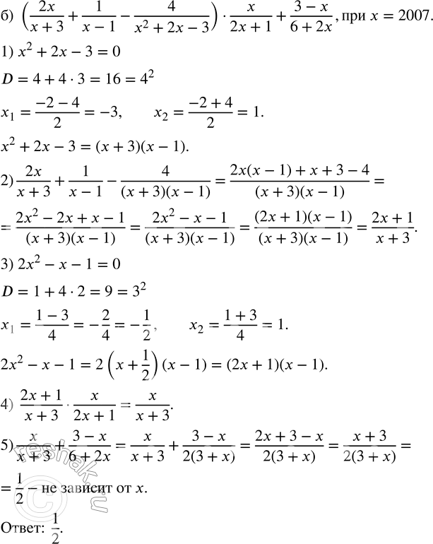
б) (2x/(x+3) + 1/(x-1) - 4/(x^2+2x-3)) · x/(2x+1) + (3-x)/(6+2x).
Старый учебник:
Найдите значение выражения при х = 2007
Похожие решебники
Популярные решебники 8 класс Все решебники
*К сожалению, временные проблемы с публикацией комментариев с мобильных устройств.