Упр.32.46 ГДЗ Мордкович 8 класс (Алгебра)
Решение #1
Решение #2

Рассмотрим вариант решения задания из учебника Мордкович 8 класс, Мнемозина:
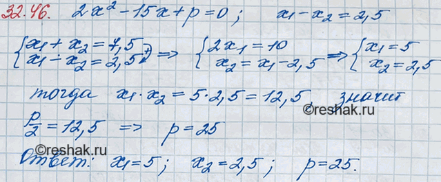
29.46. Разность корней уравнения 2х2 - 15x + р = 0 равна 2,5. Найдите значение параметра р и корни уравнения.
Похожие решебники
Популярные решебники 8 класс Все решебники
*К сожалению, временные проблемы с публикацией комментариев с мобильных устройств.