Упр.32.23 ГДЗ Мордкович 8 класс (Алгебра)
Решение #1
Решение #2

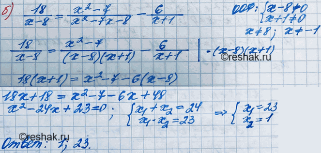
Рассмотрим вариант решения задания из учебника Мордкович 8 класс, Мнемозина:
Решите уравнение:
29.23
Похожие решебники
Популярные решебники 8 класс Все решебники
*К сожалению, временные проблемы с публикацией комментариев с мобильных устройств.