Упр.22.27 ГДЗ Мордкович 8 класс (Алгебра)
Решение #1
Решение #2

Рассмотрим вариант решения задания из учебника Мордкович 8 класс, Мнемозина:
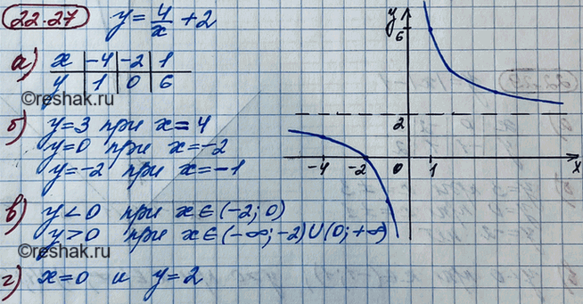
20.27. Используя график функции у = 4/x +2, найдите:
а) значение функции при х - -4; -2; 1;
б) значение аргумента, если у - 3; 0; -2;
в) значения аргумента, при которых у < 0, у > 0;
г) уравнения асимптот графика функции.
Похожие решебники
Популярные решебники 8 класс Все решебники
*К сожалению, временные проблемы с публикацией комментариев с мобильных устройств.