Упр.22.24 ГДЗ Мордкович 8 класс (Алгебра)
Решение #1
Решение #2

Рассмотрим вариант решения задания из учебника Мордкович 8 класс, Мнемозина:
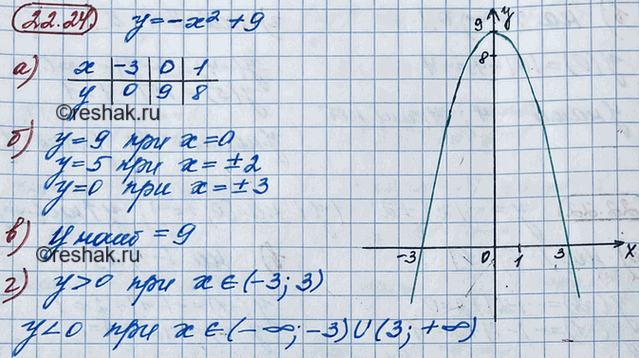
20.24. Используя график функции у = -х2 + 9, найдите:
а) значение функции при х = -3; 0; 1;
б) значения аргумента, если у = 9; у = 5; у = 0;
в) наибольшее значение функции;
г) значения аргумента, при которых у > 0, у < 0.
Похожие решебники
Популярные решебники 8 класс Все решебники
*К сожалению, временные проблемы с публикацией комментариев с мобильных устройств.