Упр.22.11 ГДЗ Мордкович 8 класс (Алгебра)
Решение #1
Решение #2

Рассмотрим вариант решения задания из учебника Мордкович 8 класс, Мнемозина:
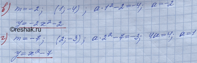
20.11. Напишите уравнение параболы у = ах2 + m, изображенной:
а) на рис. 40;
б) на рис. 41;
в) на рис. 42;
г) на рис. 43.
Похожие решебники
Популярные решебники 8 класс Все решебники
*К сожалению, временные проблемы с публикацией комментариев с мобильных устройств.