Упр.17.3 ГДЗ Мордкович 8 класс (Алгебра)
Решение #1
Решение #2

Рассмотрим вариант решения задания из учебника Мордкович 8 класс, Мнемозина:
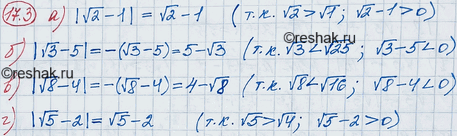
16.3. а) | корень 2 - 1|;
б) |корень 3 — 5|;
в) |корень 8 - 4|;
г) |корень 5 - 2|.
Похожие решебники
Популярные решебники 8 класс Все решебники
*размещая тексты в комментариях ниже, вы автоматически соглашаетесь с пользовательским соглашением