Упр.17.24 ГДЗ Мордкович 8 класс (Алгебра)
Решение #1
Решение #2

Рассмотрим вариант решения задания из учебника Мордкович 8 класс, Мнемозина:
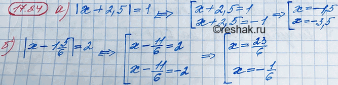
16.24 а) | х + 2,5| = 1;
б) |x-1*5/6| =2;
в) |x + 0,75| = 3,75
г) |x-2/3|=1/3.
Похожие решебники
Популярные решебники 8 класс Все решебники
*размещая тексты в комментариях ниже, вы автоматически соглашаетесь с пользовательским соглашением