Упр.17.21 ГДЗ Мордкович 8 класс (Алгебра)
Решение #1
Решение #2

Рассмотрим вариант решения задания из учебника Мордкович 8 класс, Мнемозина:
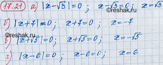
Решите уравнение:
16.21 а) |x - корень 3| = 0;
б) |x + 7| = 0;
в) |х + корень 5| = 0;
г) |x — 6| = 0.
Похожие решебники
Популярные решебники 8 класс Все решебники
*размещая тексты в комментариях ниже, вы автоматически соглашаетесь с пользовательским соглашением