Упр.16.87 ГДЗ Мордкович 8 класс (Алгебра)
Решение #1
Решение #2

Рассмотрим вариант решения задания из учебника Мордкович 8 класс, Мнемозина:
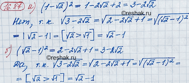
15.89. а) Докажите, что (1 - корень 2) =3-2 корень 2. Можно ли на основании этого утверждать, что корень (3-2 корень 2) =1- корень 2?
б) Докажите, что (корень 2 - 1)2 =3-2 корень 2. Можно ли на основании этого утверждать, что корень (3 - 2 корень 2) = корень 2 - 1?
Похожие решебники
Популярные решебники 8 класс Все решебники
*К сожалению, временные проблемы с публикацией комментариев с мобильных устройств.