Упр.16.82 ГДЗ Мордкович 8 класс (Алгебра)
Решение #1
Решение #2

Рассмотрим вариант решения задания из учебника Мордкович 8 класс, Мнемозина:
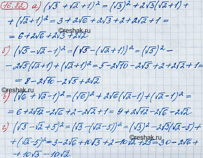
15.84 а) (корень 3 + корень 2 + 1)2;
б) (корень 5 - корень 2 - 1)2;
в) (корень 6 + корень 2 - 1)2;
г) (корень 3 - корень 2 + 5)2.
Похожие решебники
Популярные решебники 8 класс Все решебники
*К сожалению, временные проблемы с публикацией комментариев с мобильных устройств.