Упр.16.58 ГДЗ Мордкович 8 класс (Алгебра)
Решение #1
Решение #2

Рассмотрим вариант решения задания из учебника Мордкович 8 класс, Мнемозина:
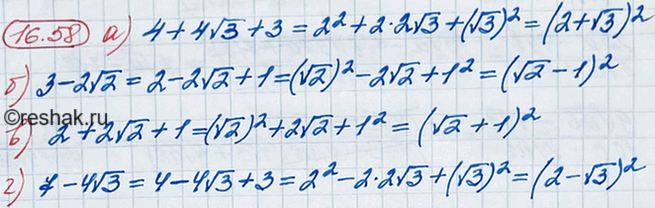
15.58 а) 4 + 4 корень 3 + 3;
б) 3 - 2 корень 2;
в) 2 + 2 корень2 + 1;
г) 7 - 4 корень 3.
Похожие решебники
Популярные решебники 8 класс Все решебники
*К сожалению, временные проблемы с публикацией комментариев с мобильных устройств.