Упр.16.38 ГДЗ Мордкович 8 класс (Алгебра)
Решение #1
Решение #2

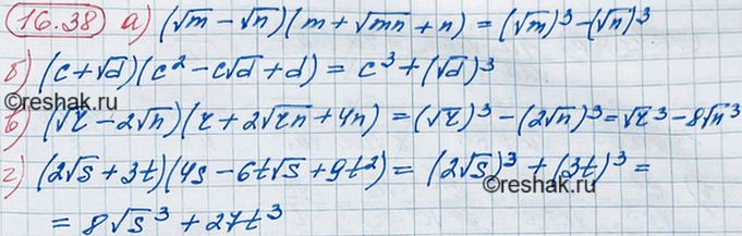
Рассмотрим вариант решения задания из учебника Мордкович 8 класс, Мнемозина:
15.38 а) (корень m - корень n)(m + корень mn + n);
б) (c + корень d)(c2 - корень d + d);
в) (корень r - 2 корень n)(r + 2 корень rn + 4n);
г) (2 корень s + 3t)(4s - 6t корень s + 9t2).
Похожие решебники
Популярные решебники 8 класс Все решебники
*К сожалению, временные проблемы с публикацией комментариев с мобильных устройств.