Упр.16.33 ГДЗ Мордкович 8 класс (Алгебра)
Решение #1
Решение #2

Рассмотрим вариант решения задания из учебника Мордкович 8 класс, Мнемозина:
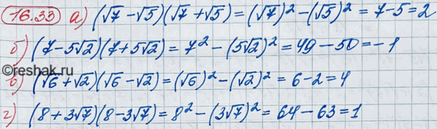
Выполните действия, используя формулы сокращенного умножения:
15.33 а) (корень 7- корень 5) (корень 7 + корень 5);
б) (7- 5 корень 2) (7 + 5 корень 2);
в) (корень 6 + корень 2) (корень 6 - корень 2);
г) (8 + 3 корень 7) (8 - 3 корень 7).
Похожие решебники
Популярные решебники 8 класс Все решебники
*К сожалению, временные проблемы с публикацией комментариев с мобильных устройств.