Упр.15.25 ГДЗ Мордкович 8 класс (Алгебра)
Решение #1
Решение #2

Рассмотрим вариант решения задания из учебника Мордкович 8 класс, Мнемозина:
14.25. Вычислите:
а) (1/2)2 + (2/корень 3)^-4 * (3)^-2;
б) (корень 2/3)^-2 - (3/корень 2)^-4 : (3)^-3;
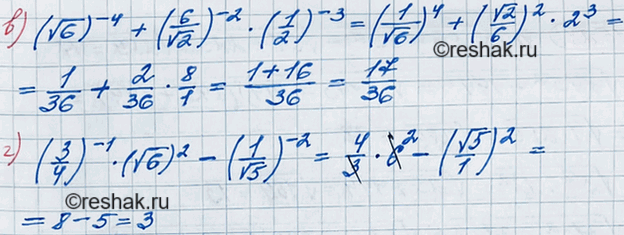
в) (корень 6)^-4 + (6/корень 2)^-2 * (1/2)^-3;
г) (3/4)^-1 + (корень 6)2 - (1/корень 5)^-2.
Похожие решебники
Популярные решебники 8 класс Все решебники
*К сожалению, временные проблемы с публикацией комментариев с мобильных устройств.