Упр.15.22 ГДЗ Мордкович 8 класс (Алгебра)
Решение #1
Решение #2

Рассмотрим вариант решения задания из учебника Мордкович 8 класс, Мнемозина:
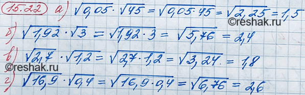
14.22. а) корень 0,05 * корень 45;
б) корень 1,92 * корень 3;
в) корень 2,7 * корень 1,2;
г) корень 16,9 * корень 0,4.
Похожие решебники
Популярные решебники 8 класс Все решебники
*К сожалению, временные проблемы с публикацией комментариев с мобильных устройств.