Упр.15.20 ГДЗ Мордкович 8 класс (Алгебра)
Решение #1
Решение #2

Рассмотрим вариант решения задания из учебника Мордкович 8 класс, Мнемозина:
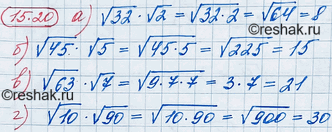
Используя свойства квадратных корней, найдите значение числового выражения:
14.20. а) корень 32 * корень 2;
б) корень 45 * корень 5;
в) корень 63 * корень 7;
г) корень 10 * корень 90.
Похожие решебники
Популярные решебники 8 класс Все решебники
*К сожалению, временные проблемы с публикацией комментариев с мобильных устройств.