Упр.15.10 ГДЗ Мордкович 8 класс (Алгебра)
Решение #1
Решение #2

Рассмотрим вариант решения задания из учебника Мордкович 8 класс, Мнемозина:
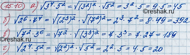
14.10 а) корень (3^4*5^2);
б) корень (2^6*7^4);
в) корень (7^2*3^6);
г) корень (2^4*5^2).
Похожие решебники
Популярные решебники 8 класс Все решебники
*размещая тексты в комментариях ниже, вы автоматически соглашаетесь с пользовательским соглашением