Упр.14.17 ГДЗ Мордкович 8 класс (Алгебра)
Решение #1
Решение #2

Рассмотрим вариант решения задания из учебника Мордкович 8 класс, Мнемозина:
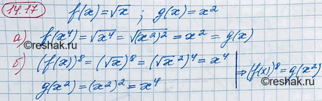
013.14. Дано: f(x) = корень х, g(x) = х2. Докажите, что:
а) f(х4) = g(x);
б) (f(х))8 = g(x2).
Похожие решебники
Популярные решебники 8 класс Все решебники
*К сожалению, временные проблемы с публикацией комментариев с мобильных устройств.